
Effect of Deoxyarbutin |
![]() |
| Deoxyarbutin (dA), a synthetic form of arbutin synthesized without the hydroxyl moiety, provides a promising treatment forreducing skin hyperpigmentation |
| Effect on Tyrosinase Activity | |
![]() |
An assay was developed to measure the conversion of tyrosine to DOPA by mushroom tyrosinase with quantitative detection by HPLC. This assay was used to determine the effective concentration range and strength of inhibition (Ki). 120 ml of mushroom tyrosinasesolution added to 10 ml of DOPAsolution 14 Lightening active ingredient (ranging from 0.1 to 10.0 pM) plus 200 ml of tyrosine (10 pM) |
| From the Fig.we can see that Tyrosinase activity is inhibited by hydroquinone or arbutin, deoxyarbutin,deoxyarbutin is more effective on inhibiting tyrosinase activity than Arbutin. | |
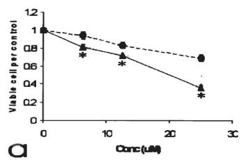
| Safety of Deoxyarbutin | |
| Photographs at the 5day time point of viability and morphology of normal human fibroblasts and keratinocytes after treats Deoxyarbutin and Hydroquinone, Doexyarbutin is more safety than hydroxyquione |
![]() |
![]() |
![]() |
Hot tags: deoxyarbutin,deoxyarbutin for skin,deoxyarbutin powder,deoxyarbutin supplier,deoxyarbutin manufacturer;Deoxyarbutin;4-(TETRAHYDRO-2H-2-PYRANYLOXY)PHENOL;4-[(Tetrahydro-2H-pyran-2-yl)oxy]phenol;Phenol,4-[(tetrahydro-2H-pyran-2-yl)oxy];Deoxyarbutin4-[(Tetrahydro-2H-pyran-2-yl)oxy]phenol;TIANFUCHEM--53936-56-4--Deoxyarbutinfactoryprice;Deoxyarbutin,98%+;Dexyarbutin; China supplier;